§4 实根的近似计算
设f(x)为已知连续函数,ξ是方程
f(x)=0
的根,这里方程可以是一般方程(代数方程或超越方程).在实际问题中都给出了根的范围,例如代数方程
f(x)=a0xn+a1xn-1+L+an-1x+an=0
的根ξ的范围是
|ξ|£1+
max{|a1|,|a2|,L,|an|}
因此可以假定方程在区间(a,b)内只有一个根(若有两个根,则将区间的一个端点换为使
(x)=0的点).并由函数的连续性可知,一般来说,在根的附近f(x)是异号的(当
(ξ)=0或
除外),所以在下面介绍的各种近似计算中,都假定f(a)和f(b)异号.
一、秦九韶法*
秦九韶法基本上是通过逐次试验求根的近似值的方法,试验次数愈多,所得近似值愈接近根的真值.系统地继续这一过程,直至达到预定的有效数字的位数.现举例具体说明这个方法.
例 求方程
f(x)=
(1)
的根到五位有效数字.
应用笛卡尔符号法则可知这个方程有一个正根.由于f(1)=-11,f(2)=14,这个正根在(1,2)之间.
现在应用秦九韶法求这个方程的近似根.先设
,这里
表示1到所求根的距离.应用多项式的泰勒公式(秦九韶法,见§2,一),得到关于
的方程
(2)
其算式为
![]()

现在求纯小数
的近似值,由于纯小数的三次方或二次方的值更小,可暂舍去方程(2)的头两项而来计算21
-11=0,即
=0.5238….但舍去的两项是正的,这个值显得太大.当
=0.500时,方程(2)的左边各项的和是仍是正数(0.375),而当
=0.400时,方程(2) 的左边各项的和是负数(-2.056).因此,设
,即
,再应用多项式的泰勒公式,得到关于h的方程
(3)
其算式为
* 我国古代数学家秦九韶在他所著的<<数书九章>>(1247),给出一个求代数方程的根近似值
的方法,这个方法一般书上都称为和纳法.实际上和纳在1819年才提出这个方法,比秦九
韶晚五百多年.
![]()

现在求小数h的近似值,舍去头两项,求得h=0.08609….因舍去两个正量,所得的h太大,所以设h=0.08
,即
.应用上述方法得到关于
的方程
(4)
同上面一样,从方程(4)的后两项求得
设
,即
得到关于
的方程
(5)
从后两项求出
的近似值
=0.0008…,因舍去的都是正量,所以方程(5)的根在0.0008和0.00081之间.
现在把(2),(3),(4),(5),的各个近似值0.4,0.08,0.004,0.0008相加得总和0.4848,然后加到第一次近似值1上,所以方程(1)的根在1.4848与1.48481之间,取五位有效数字为1.4848.
用秦九韶法还能求负的近似值.想求f(x)=0的一切负实根,可先求 f(-x)的正实根,然后改变符号,即得负实根.
二、二分法
假定f(x)在[a,b]上连续,且f(a)f(b)<0(这里假定f(a)<0,f(b)>0),取区间[a,b]的中点
,若
=0,则f(x)=0的根是ξ=
.不然,若
>0,则令a1=a,b1=
;若
<0,则令a1=
,b1=b.于是形成新区间[a1,b1],它包含f(x)=0的根ξ(图3.2).
再取[a1,b1]的中点
,若
=0,则ξ=
.若
>0,则令a2=a1,b2=
;若
<0,则令a2=
,b2=b1.于是又形成新区间[a2,b2],其长度等于
,它包含方程f(x)=0的根ξ.…若允许误差ε=
,则按这个过程作出区间[a1,b1],
[a2,b2], [a3,b3],L, [an,bn],n=
([x]表示x的整数部分),于是
ξ*=![]()
是方程f(x)=0的近似根,误差不超过
|ξ-ξ*|£
£![]()
二分法是求实根的近似计算中行之有效的最简单的方法,它只要求函数是连续的,因此它的使用范围很广,并便于在电子计算机上实现.但是它不能求重根,也不能求虚根.
三、迭代法
把方程f(x)=0表成它的等价形式
x=j(x)
或一般地
f1(x)=f2(x)
式中f1(x)是这样一个函数:对任意实数c,能容易算出方程f1(x)=c的精确度很高的实根.如果对任意a£x1£b,a£x2£b,下式成立:

则下面迭代过程是收敛的.
首先从一个近似根x0出发(x0可由图解法粗略估计出),代入方程右边,解方程
f1(x)=f2(x0)
得到第一个近似根x=x1,再解方程
f1(x)=f2(x1)
得到第二个近似根x=x2,L,类似地由第n个近似根xn,解方程
f1(x)=f2(xn)
得到第n+1个近似根x=xn+1,于是得到一系列不同精确度的近似根
x0, x1, x2,L, xn,L
它收敛于方程的根ξ(图3.3).
收敛速度(即误差消失速度)与an相当,而
a![]()
用
![]()
代替x2可加速收敛.式中Dx1=x2-x1为x1的一阶差分,D2x0=Dx1-Dx0为x0的二阶差分.
对于方程x=j(x),只要j(x)在[a,b]上连续,且
q<1,那末,它的根可由
x1=j(x0)
x2=j(x1)
LLLL
xn+1=j(xn)
来接近(图3.4).
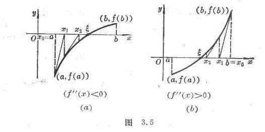
四、牛顿法
1.一般牛顿法
设f(x)在[a,b]上连续,
也连续,且
¹0,
¹0,f(a)f(b)<0(设f(a)<0,f(b)>0),过点(a,f(a))(或点(b,f(b)))作曲线的切线:
(或
)
它和x轴的交点为x=a-
(或x=b-
)
用迭代公式
xn+1=xn-![]()
并取初始值
x0=
可计算出方程f(x)=0的根的近似值(图3.5).误差ïx-xnï不超过
![]() |

一般选取的初始值x0,要满足不等式
![]()
2.近似牛顿法
如果
不易算出,可改用差商代替,得出近似牛顿法迭代程序:
xn+1=xn![]()
3.逐次压缩牛顿法
求实系数代数方程
f(x)=a0xn+a1xn-1+L+an=0
的单实根时,用牛顿法求出一个实根x0后,可把多项式的次数降低一次,降低次数后的多项式系数bk为
b0=a0
bk=ak+x0bk-1 (k=1,2,L,n-1)
然后,再把求出的实根作为初始近似值,用同法求出再次降低次数的多项式的实根,依此求出全部单实根.
4.牛顿法解非线性方程组
假设非线性方程组

存在一组近似解P0=(x0,y0),且

可用迭代公式:
xn+1=xn+
yn+1=yn+
式中Pn为点(xn,yn),Jn为雅可比式J在Pn的值:

五、弦截法(线性插值法)
假设f(x)在[a,b]上连续,
,
都不变号,且f(a)f(b)<0(这里假定f(a)<0,f(b)>0).过点(a,f(a))和(b,f(b))的直线是:
![]() |
它和x轴的交点是x=a-
(或x=b-
).
(a)当![]()
>0时,用迭代公式

可求出方程的近似根(图3.6(a)).
(b)当![]()
<0时,用迭代公式

可求出方程f(x)=0的近似根(图3.6(b)).
六、联合法(牛顿法与弦截法联合使用)
假设f(x)在[a,b]上连续,
,
都不变号,且f(a)f(b)<0(这里假定f(a)<0,f(b)>0).
(a)当f(a)与
同号时(图3.7(a)),用迭代公式
x1=a![]()
=b![]()

x2=x1![]()
=![]()
![]()
LLLLLLL
xn=xn-1![]()
=![]()
![]()
可求出方程f(x)=0的近似根.
(b)当f(a)与
异号时(图3.7(b)),用迭代公式
x1=a![]()
=b![]()
x2=x1![]()
=![]()
![]()
LLLLLLLL
xn=xn-1![]()
=![]()
![]()
可求出方程f(x)=0的近似根.
误差
或
.
七、抛物线法(穆勒法)
求实系数n次方程
f(x)=xn+a1xn-1+L+an=0 (1)
的近似根.
可先求出f(x)=0的一个根x=r,则
f(x)=(x-r)g(x)
=(x-r)(xn-1+b1xn-2+L+bn-1)
式中g(x)是n-1次多项式,然后再求出g(x)的根,依此类推,可以求出f(x)=0的全部实根来.
首先选取x轴上三点:x0,x1,x2,通过曲线y=f(x)上的三点:(x0,f(x0)), (x1,f(x1)),(x2,f(x2))作一抛物线y=P(x)(即拉格朗日插值多项式,见第十七章,§2,三),抛物线与x轴有两个交点,取离x2较近的一点作为x3;再过三点(x1,f(x1)),
(x2,f(x2)), (x3,f(x3))作一抛物线(图3.8中的虚线),它与x轴有两个交点,取离x3较近的一点作为x4L,依此法作出点xi-2, xi-1,
xi,再过三点(xi-2,f(xi-2)),
(xi-1,f(xi-1)),
(xi,f(xi))作一抛物线与x轴有两个交点,取离xi较近的一点作为xi+1,等等.
对于预先给定的允许误差e,当迭代过程进行到
ïxi+1-xiï<e
时,就取xi+1作为f(x)=0的一个近似根.
由此得到的序列是收敛的.极限值
,就是方程f(x)=0的根.
迭代步骤如下:
(1)根据经验对上式(1)可取
x0=-1, x1=1, x2=0
作为初始值,于是
f(x0)=(-1)n+(-1)n-1a1+L-an-1+an
f(x1)=1+a1+L+an
f(x2)=an
或用x=0附近的近似值
f(x0)»an-2-an-1+an
f(x1) »an-2+an-1+an
f(x2)=an
(2)设
li=
, di=1+li=![]()
gi=f(xi-2)li2 -f(xi-1)lidi +f(xi)li
hi=f(xi-2)li2 -f(xi-1)di2 +f(xi)(li+di)
由此根据xi-2, xi-1, xi 计算出li, di, gi, hi,并根据下列公式计算出li+1
li+1=
(hi>0,根式取正号;hi<0,根式取负号)
当f(xi-2)=f(xi-1)=f(xi)时,取li+1=1.
(3)根据公式
xi+1=li+1(xi-xi-1)+xi
计算出xi+1
八、林士谔—赵访熊法(劈因子法)
由于解二次方程是容易的,因此在求实系数代数方程
f(x)=xn+a1xn-1+L+an-1x+an=0
的复根时,如果找出f(x)的一个二次因子,就等于找到方程的一对复根.
设f(x)的一个近似二次因子(任意选取)为
w (x)=x2+px+q
可用下述方法使它精确化:
(1)用w (x)去除f(x),得到商式Q(x)和余式R(x),即
f(x)= w (x)Q(x)+R(x)
=(x2+px+q)(xn-2+b1xn-3+L+bn-3x+bn-2)+(r1t+r2)
式中商式与余式的系数可用下面的递推公式算出:
bk=ak-pbk-1-qbk-2, k=1,2,L,n
b-1=0, b0=1
r1=bn-1=an-1-pbn-2-qbn-3
r2=bn+pbn-1=an-qbn-2
(2)用w (x)去除xQ(x)得到余式
R[1](x)=R11x+R21`
式中R11,R21,由下面的递推公式算出:
ck=bn-pck-1-qck-2, k=1,2,L,n-3
c-1=0, c0=1
R11=bn-2-pcn-3-qcn-4
R21=-qcn-3
(3)用w (x)去除Q(x)得到余式
R[2](x)=R12x+R22`
式中R12,R22,由下面的公式算出:
R12=bn-3-pcn-4-qcn-5
R21=bn-2-qcn-4
(4)解二元一次线性方程组

得到u,
.
(5)修正后的二次式为
w [1](x)=x2+(p+u)x+(q+
)
如果它还不够精确,再重复(1)至(5)的步骤进行修正,直到足够精确为止.
林士谔—赵访熊法求实系数代数方程的复根,其优点是避免了复数运算,缺点是程序比较复杂.
九、下降法
对任意实系数超越方程组
(1)
定义目标函数
F(x1,x2,L,xn)=![]()
如果F(x1,x2,L,xn)<e(e为在一定精确度下给定的适当小的正数),则认为x1,x2,L,xn为方程组(1)的解.
具体计算步骤如下:
(1)任取一组初始值x1(0),x2(0),L,xn(0)(全不为零),设已按照下述过程计算到第m步得到一组值:x1(m),x2(m),L,xn(m)
(2)计算
Fm=F(x1(m),x2(m),L,xn(m))
(3)若Fm<e,则x1(m),x2(m),L,xn(m)是所求的解,否则计算n个偏导数:
[F(x1(m),x2(m),L,xi(m)+Hi,L, xn(m))-F(x1(m),x2(m),L,xn(m))]
Hi=wxi(m) i=1,2,L,n
(4)计算
xi(m+1)= xi(m)
, i=1,2,L,n
式中

得到一组{xi(m+1)},再重复(2),(3),(4)的计算.